ETH質押經濟學研究:質押收益率曲線該如何設計
原作者:AnsgarDietrich,Casparschwa,Ethereum基金會
本文來自于AnsgarDietrichs和Casparschwa在ethresearch論壇上針對Ethereum質押機制與ETH增發模型的討論。極客Web3對此進行了整理和刪改。這些觀點在2024年2月提出,部分數據可能存在偏差,但其關于Ethereum質押經濟模型的分析仍值得參考,且其中部分結論仍未過時。

(“對手方風險”指對方可能違約/無法履行義務。LST場景中“對手方風險”主要包括用戶資產被盜、LST價格滑點、貶值)
目前,ETH質押沒有硬性的上限規定,理論上所有ETH都可被質押以獲得收益。而LST顯著改變了質押的成本結構,幾乎所有的ETH都可能被質押。因此我們認為,Ethereum的經濟模型與質押模式應當包含動態的調節政策,讓質押比例在一定范圍內調整,這樣一來Ethereum就能在可控的成本規模下確保安全,避免負外部性的產生。
在本文中,我們針對Ethereum的經濟模型提出了一些亟需解決的問題。
ETHTokens發行策略的現狀與未來趨勢
在展開討論前,我們先探討當前的ETHTokens發行政策下,哪些長期的質押模式是可行的。Ethereum的安全依賴于一定比例的Tokens質押,可以概括為POSEthereum本身有“吸引質押的需求”。而對質押的需求在Ethereum的貨幣政策中有明確規定,根據實際的質押權重,協議會相應調整ETH增發量,提高單個Node的質押獎勵。
然而,ETH持有者的質押意愿是多樣且復雜的,我們只能基于現有信息進行合理推測,粗略估計質押意愿變化對質押者參與情況的長期影響。
ETH質押的供需關系曲線:用增發的ETH換取安全保障
ValidatorNode質押ETH會讓協議獲得安全保障,協議再向ETH質押者分發Tokens獎勵,這是一個雙贏機制。(限于篇幅,本文對“安全性需要達到什么程度”等具體問題不加討論,想要了解詳情可以參考文章Pathstowardsingle-slotfinality)而Validator的收益主要來自兩部分:
第一部分:協議根據固定的收益曲線發放的獎勵;(就是Ethereum每年通過增發ETH,分配給質押參與者的獎勵)
第二部分:Validator在出塊過程中獲得的MEV收益。

自Ethereum信標鏈啟動以來,質押的ETH總量持續增加,質押量的供應曲線是向下移動的。即使在較低的質押收益下,ETH持有者的質押意愿依然會增加。從歷史趨勢看,短期內供應曲線持續下移屬于合理預期。然而值得深入探討的是長期質押平衡的問題,我們需要仔細分析供給端的構成。
任何ETH持有者在決定是否質押時,通常會考慮兩個主要因素:質押收益以及所需成本。總體來看,驗證者手中單位資產的質押收益是相同的,但不同類型的質押者卻在成本結構上存在顯著差異。下文將深入對比獨立質押者和質押服務提供商(SSPs)之間的差異。
獨立質押者vs質押服務提供商
SSPs接受用戶的ETH,并代用戶完成質押操作,收取一定的服務費用。通常情況下,他們會為用戶提供LST作為質押憑證,用戶可以把LST用于二級市場交易(比如stETH)。對于LST持有者而言,這些Tokens的流動性取決于LST的整體使用率,以及第三方協議對其的支持率。
我們要重點分析的,是Lido這類發行LST的SSPs。至于那些不發行LST的SSPs,可以將其視作LST流動性價值為零的特殊情況,不在本文討論。
對于大多數人而言,單獨質押不需要信任第三方,但參與門檻較高,操作繁瑣;相比之下,LST需要一定程度的信任,但卻具有顯著的簡易性和流動性優勢。

1.LST的“貨幣屬性”增強:當某種LST的受歡迎程度提升時,我們可以預期其將得到越來越多項目的支持,超越原生ETH的使用場景,例如更多的DeFi協議集成LST,二層網絡默認對橋接的ETH進行流動性質押等。當ETH質押比例足夠高時,LST甚至可能在流動性方面超越未質押的ETH,反轉二者的流動性差距。
2.智能合約風險降低:隨著時間的推移,LST的智能合約會經過大量的實踐檢驗,并且通過形式化驗證等方式進一步降低風險。
3.治理系統穩健性的提升:隨著使用率的增加,LST相關的治理機制也會變得更加成熟和穩健,例如LDO+stETHdualgovernance提案就反映了LST治理體系的進步。
4.對大規模風險預期的降低:當某種LST占據整體市場足夠大的比例時,它可能會被視為“太大而不能倒”的存在。所以用戶相信市場上的各種力量會在SPPs出現問題時及時補救。
5.LSD服務提供商的盈利平衡:當LST的使用率足夠高使其流動性足夠好,SSPs可以降低單位服務費用來維持盈利,吸引更多用戶參與。
整體來看,SSPs和LST的存在使得質押供應曲線被顯著拉平,這意味著不需要繼續提高質押激勵,就可以推動Ethereum質押總量的增加。由此可以推測,LSD將繼續在推動質押量增長方面發揮重要作用。然而這樣一來,長期的時間維度中,質押激勵并不是ETH質押增長的桎梏,那么ETH質押究竟能達到多大規模呢?
質押率的長期均衡點
綜合考慮需求和供應等因素,我們可以推測出ETH質押能維持的長期均衡狀態。前面我們提到,當質押參與率較低時,需求曲線表現出明顯的傾向性,但對于長期內可能達到的具體質押比例沒有明確結論。
隨后我們說明了隨著質押成本和風險的降低,供應曲線會隨時間逐漸下移,使得越來越多人愿意參與質押,其中起到主要推動作用的正是LST。然而,供應曲線本身的形狀無法定量分析,其是否足夠陡峭、能對質押參與度形成合理調節,目前并不明確。
因此,總體質押比例的均衡點并不能準確計算出來,存在廣泛的可能性,甚至可能接近100%。下圖反映了即使長期內的供應曲線差異很小,也可能導致質押比例的均衡點出現位移。

如果大部分ETH都參與了流動性質押,實際上在除GasToken之外的多數場景中,真正作為貨幣的將會是LST。然而,無論是由ETF、CEX還是鏈上質押池發行的LSTs,都伴隨著不同的信任假設,具有顯著風險。最終,用戶將不可避免地承受來自運營商、治理、法律以及智能合約等方面的額外風險,這顯然不是理想狀態。
此外,LST雖然自夸可以還原被質押ETH的流動性,但其在DeFi中作為抵押物的效果肯定不如原生ETH。Ethereum網絡想要實現真正的經濟可擴展性,其貨幣必須盡可能去信任化,最好是使用ETH本身。
最小可行發行量——服務于用戶體驗
Ethereum的最小可發行量MVI是Ethereum網絡在維護其安全性和功能性前提下,所需的最低發行量,旨在平衡網絡的安全性和ETH通脹率。根據MVI原則,必須確保有足夠的質押參與來保障協議的安全性,但質押量不宜過多。
當質押水平達到某個臨界點時,協議的安全性已經足夠穩固,此時額外質押帶來的邊際效用會逐漸遞減,甚至可能出現負面效應(例如,增加網絡負載、稀釋ETH持有者的權益等)。此外,質押是一項協議所需的基礎服務,協議應為質押支付合理的報酬吸引用戶參與,而不是因資產稀釋壓力使用戶被迫參與。
若ETH發行量繼續增加,會導致所有ETH持有者和質押者面臨更大的稀釋風險,然而SSP卻不會受到負面影響。因為代質押ETH的所有權并不屬于SSP,SSP只是通過收取服務費來獲取收入,ETH價值稀釋與其無關。不但如此,如果更多人為了對沖通脹而參與LSD質押,SSP收的服務費用能水漲船高。
假設一個情境:Ethereum質押參與率為90%,質押年收益率2%,流動性質押占總質押價值的90%,且平均SSP費率為10%,換算下來每年將有相當于Ethereum市值0.16%的費用支付給SSP,約為20萬ETH,按當前價格計算,約合5.3億美元。這5.3億美元,實際上相當于是對所有ETH持有者的一種隱形稅收。
實際收益率:名義收益率—稀釋效應
類似于金融學中的名義利率與實際利率,實際收益率為剔除ETH名義質押收益中的稀釋效應后得來的真實收益率。隨著越來越多的人參與質押,以及Ethereum的通脹,由ETH質押帶來的名義收益將逐漸被稀釋,實際收益能更清晰地反映出質押的真實激勵,而我們之前討論的質押收益曲線,均為名義收益曲線。

基于此,我們提出以下觀點:
1.持有原生ETH應具備經濟可行性,確保良好的用戶體驗,并避免因安全風險導致的價值稀釋問題,從而更好地保護ETH持有者的利益。
2.為了實現真正的經濟可擴展性,Ethereum的通用貨幣應盡可能免信任/無需信任。只有這樣,才能確保整個系統的穩健和廣泛的適用性。
3.資產價值的稀釋保護成為質押的主要激勵構成,對質押者和ETH持有者來說都是不理想的結果。依賴稀釋保護作為激勵可能會帶來不必要的市場波動,削弱了質押機制的初衷。
4.高質押參與率會進一步加劇獨立質押者在市場中的競爭劣勢,可能讓更多用戶傾向于利用SSP進行質押,導致質押的集中化,不利于網絡的Decentralization和安全。
Ethereum未來能達到的質押比例仍不確定,我們需要主動采取措施,確定一個最優的質押比例,防止比例過高產生負面影響。即使高質押比例對某些人來說可能是有利的,這個選擇也應當是經過充分考量后做出的,而非受到市場外部因素的隨機影響。
質押參與比例的最終目標
我認為,Ethereum的質押政策應當以質押比例為基準,而非ETH的質押量。ETH的供應量受到EIP-1559和發行機制的影響而波動,以質押比例為標準能夠適應這種供應變化。雖然目前ETH的供應變化非常緩慢,自TheMerge以來每年下降約0.3%,但其長期影響不可忽視。設立以質押比例為基準的政策,能夠在更長時間范圍內保持穩定,無需頻繁調整。
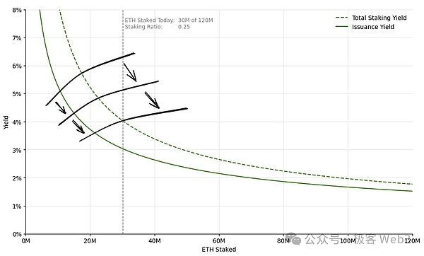
如前文所說,當前的發行曲線雖然確保了最低的質押水平,但缺乏限制質押比例上限的機制,這可能會導致質押比例過高。我們認為,一個完善的Tokens發行政策應當設定質押比例的上下限,來確保網絡安全,并維持合理的參與度。具體而言,該政策應努力將質押比例保持在一個“既能確保網絡安全,又能避免負面外部效應的最佳范圍”內。
為此,Ethereum可以對過低的質押比例設置超高獎勵,對過高的質押比例設置超低獎勵、甚至是負獎勵,來調節質押比例。通過這種方式,Ethereum可以調控質押參與度。這種政策設計的曲線可以參考Vitalik所提出的示例,該曲線展示了如何在不同質押比例下調節獎勵,以引導質押行為。

確定合理的質押比例后,設計者還要選擇合適的質押曲線,來實現Ethereum質押參與度的均衡。設計者要仔細評估不同曲線的優缺點,挑出最合適的方案。同時,設計者可以繼續探索其他機制,例如類似于EIP-1559的反饋控制系統,根據網絡狀況動態調整質押發行曲線,以確保曲線與網絡需求間的匹配度達到最優。
3.如何確保在近零或負發行情況下的激勵相容?
激勵相容由諾獎得主利LeonidHurwicz提出,是機制設計的重要原則,具體是說如果某種機制可以將系統內的個人利益與系統整體利益統一起來,該系統就是激勵相容的。
EthereumPoS發行的初衷是通過經濟激勵吸引驗證者參與共識,然而在某些質押參與率下,發行收益可能趨近于零,甚至出現負值。盡管在這種情況下,驗證者可能為了MEV收益繼續質押,但如果缺乏常規的質押獎勵,驗證Node可能在出塊和驗證時缺乏足夠動力,也就是說當質押發行量過低時,共識機制可能面臨失效的風險。
為了解決這一問題,Ethereum協議可以對所有驗證者收取一定費用,并根據驗證者是否稱職進行再分配,重新建立激勵相容性。然而,這種方案的實施將增加協議的復雜性,因此需要進一步探討其可行性和有效性。
4.如何以相對(質押比例)而非絕對(固定ETH數量)方式來設定目標范圍?
其實也可以將質押發行水平設置為某一絕對的ETH數量,比如3000萬枚,或4000萬枚ETH,然而為了讓發行政策更具前瞻性和適應性,最好直接把質押比例作為考核參數。為了讓發行政策以某一特定的質押比例為目標,協議需要掌控ETH質押量和供應量。
5.當質押參與率超出目標區間,如何使其恢復到目標值?
如果當前的質押參與率就在目標區間內,當然是最理想的情況,但如果超出該區間,就必須采取一定措施降低質押參與度,使一部分質押者收益不足進而退出質押。即使我們用最溫和的手段降低參與度,這個過程也會對一些質押者產生不利影響。如何盡量降低這種影響仍然是一個需要解決的問題。
結論
我們討論了當前的Ethereum質押激勵政策與Tokens發行方案,詳細解釋了該發行方案存在的負外部性,探討了一種可以解決問題的新政策,就是將質押比例設定在一個目標范圍內。
然而,鑒于一些尚未解決的問題,尤其是在驗證者費用機制和鏈上MEV捕獲機制上的缺失,實現該政策還需要一段時間的過渡。我們提議在這段時間內,對現行的ETH質押與Tokens發行政策進行革新,作為邁向目標政策的關鍵一步。
為此,我們在即將到來的Electra升級中,提出了一項關于改革質押發行政策的提案(相關內容可以參考文章Electra:IssuanceCurveAdjustmentProposal)。
